含长程力的有效力程展开
近日,电子科技大学杜孟林教授、吴兵博士与ld体育网页端 郭奉坤研究员合作,在物理学期刊《Physical Review Letters》上发表了题为“Effective-Range Expansion with a Long-Range Force”(含长程力的有效力程展开)的研究论文。
有效力程展开(effective-range expansion,ERE)是描述两个粒子低能散射行为的重要理论工具,自1949年由著名物理学家 Hans Bethe 提出以来,广泛应用于粒子物理、强子物理、核物理及冷原子物理等诸多领域。其核心思想是将散射振幅的倒数在粒子阈值附近展开为相对动量模方的幂级数(并考虑几率守恒导致的幺正性),通过散射长度、有效力程等参数刻画低能相互作用。然而,当两个粒子间存在由交换轻粒子(如π介子)引起的长程相互作用时,会在复能量平面上产生一个靠近两粒子阈值的左手割线(left-hand cut)。这严重压缩了传统 ERE 的收敛半径, 阻碍了从实验或格点量子色动力学(lattice QCD)数据中精确抽取低能散射可观测量和近阈值共振态(如近年来备受关注的奇特强子态)的极点位置(即粒子质量和宽度);参见:左手割线对极点位置的重要性。
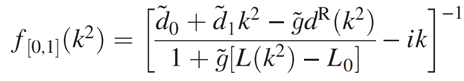
研究团队针对这一长期存在的理论瓶颈,取得了突破性进展。他们发展了一种全新的散射振幅参数化方法,成功将长程力导致的左手割线解析地纳入理论框架。该方法基于 N/D 色散关系,其核心在于将散射振幅表示为分子分母函数的商,其中分母函数仅包含由幺正性要求的右手割线(对应物理过程),而分子函数则包含了描述左手割线的非解析项。最终得到的参数化形式可视为对传统 ERE 的自然推广:当不存在长程力时,新方法自动退化为标准 ERE。该方法形式上类似于 Padé 展开。
新方法的关键优势在于其高效性与普适性。特别是其简洁的[0,1]阶展开形式(如公式所示):

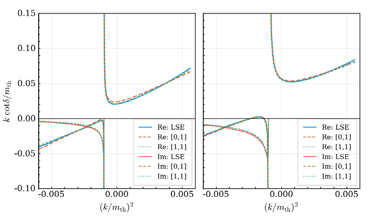
仅需三个参数,即可在包含左手割线影响下,高精度地再现低能散射行为。研究团队以 DD*系统为例(该系统因存在u-道π介子交换而具有靠近阈值的显著左手割线),利用新方法成功复现了通过求解复杂 Lippmann-Schwinger 方程得到的散射相移和振幅虚部(如图1所示)。新方法不仅精确捕捉了相移的变化,还正确描述了在左手割线支点附近出现的振幅零点,该零点现象源于短程相互作用与长程π介子交换之间的共同作用。此外,该参数化还提供了一个新途径,使得在拟合实验或格点数据后,能够直接提取交换粒子(如π介子)与散射粒子间的耦合常数,这是理解相互作用微观机制的关键参数。这项工作解决了传统ERE在长程力存在时适用范围受限的核心问题,为精确抽取近阈值共振态(尤其是各类奇特强子候选者,如双粲四夸克态Tcc(3875))的极点位置提供了强大、可靠且易于应用的新工具。当前格点 QCD 研究中,对于受显著左手割线影响的系统,应用新方法将显著提升极点抽取的准确性。尤为重要的是,其理论形式具有广泛的普适性,适用于所有存在汤川型(Yukawa-type)长程相互作用的系统,包括粒子物理、核物理(如中子-氘核散射、涉及晕核的散射)、冷原子物理(如原子与弱束缚二聚体的散射)以及某些暗物质模型等,为这些领域研究低能散射动力学提供了统一的强大分析框架。

图1.包含长程势的参数化方案[0,1](如公式所示)以及更高阶近似[1,1]与Lippmann-Schwinger方程解的对比。
该工作得到了国家重点研发计划、中国科学院以及国家自然科学基金委员会相关项目的资助。
正文链接:
https://journals.aps.org/prl/abstract/10.1103/cwdt-dj6z