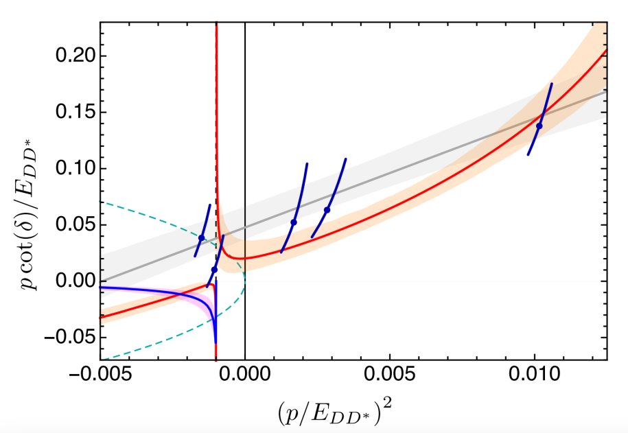
左手割线对极点位置的重要性
强子是由带颜色的夸克和胶子构成的无色的粒子。传统的夸克模型中,强子包括由三个夸克构成的重子以及由一对正反夸克构成的介子,超出这些构型的强子被称为奇特强子态。近二十年来,世界各大高能实验发现了大量的奇特强子态的候选者。对这些奇特强子态结构和性质的研究是当前强子物理的热门研究领域。对于多夸克态(比如两对正反夸克组成的四夸克态或四个夸克和一个反夸克组成的五夸克态)而言,其内部夸克的分布有不同的可能性。一种可能是,不同的夸克(或反夸克)先结合形成无色集团,继而通过强相互作用的剩余相互作用形成类似分子的结构;在此情形下,色禁闭发生在无色的子集团内。另一种可能是,多夸克态内部没有更小的无色集团,从而色禁闭在所有夸克之间都起到重要作用。由此可见,研究清楚多夸克态的内部结构对理解色禁闭这一基本问题是很重要的。两个强子之间的低能散射蕴含着与它们相耦合的多夸克态内部结构的重要信息,是诸多理论和格点 QCD 计算研究的对象。
强子态对应于散射振幅的极点。通过构造散射振幅,计算出对应的物理量,进而拟合实验或格点QCD 的数据,我们可以得到强子态的质量、宽度等参数。虽然实验可测的能量都是实数,但是我们可以利用解析延拓的方法将能量延拓为复数,而散射振幅作为能量的函数,其解析性质则与因果关系、几率守恒等基本物理要求相关。散射振幅包含极点和割线两大类奇点,极点的实部和虚部通常对应于粒子的质量和半宽度,而割线则是由相互作用过程里多个中间粒子可以自由传播造成的。抽取粒子的质量和宽度是通过实验数据和格点 QCD 计算研究强子谱的主要任务之一。
2021年,欧洲核子中心大型强子对撞机上的LHCb实验发现了一个双粲四夸克态

近日,电子科技大学的杜孟林教授、ld体育网页端
的博士毕业生董相坤和郭奉坤研究员、华南师范大学的王倩教授与来自德国、俄罗斯和西班牙的研究人员一道,对这个系统进行了研究。他们发现,由于


该工作近日发表于 Phys. Rev. Lett. 上 [2]。这项工作得到了由国家自然科学基金委和德国DFG联合设立的中德跨学科重大合作研究项目CRC110、中国科学院稳定支持基础研究领域青年团队项目、B 类先导科技专项、基金委国家杰出青年科学基金、重点项目、彭桓武理论物理创新研究中心以及广东省基金等的支持。
原文链接:
https://journals.aps.org/prl/abstract/10.1103/PhysRevLett.131.131903
参考文献
[1] M. Padmanath, S. Prelovsek, Phys.Rev.Lett. 129 (2022) 032002.
[2] M.-L. Du, A. Filin, V. Baru, X.-K. Dong, E. Epelbaum, F.-K. Guo, C. Hanhart, A. Nefediev, J. Nieves, and Q. Wang, Phys. Rev. Lett. 131, 131903 (2023).