双微波屏蔽玻色超冷分子体系的有限温量子相
近年来,得益于微波屏蔽技术的发展,超冷极性分子领域取得了显著进步。利用微波屏蔽技术,研究者们先后实现了NaK分子简并费米气体,以及在单微波场下制备的超冷四聚体 (NaK)2。此外,通过双微波场,NaCs分子和NaRb分子体系均成功实现了玻色–爱因斯坦凝聚(BEC)。由于微波场具有灵活的可调节性,超冷极性分子可以作为研究新型量子现象的高度可控平台,并在量子模拟、量子计算、超冷化学和精密测量等方向具有广泛应用潜力。
单微波与双微波屏蔽的机制长宽比长宽比已通过多通道散射计算得到阐明。微波屏蔽极性分子之间的有效相互作用在长程表现为偶极–偶极相互作用,在短程呈现1/r6排斥势,从而形成较大的屏蔽核。这种有效势提供了定量的屏蔽机制描述,并在体系中引入显著的多体关联效应。先前大部分理论研究集中在零温条件或单微波屏蔽情形下,而双微波场条件下的有限温多体性质尚缺乏系统研究。近期实验已在有限温条件下实现NaCs和NaRb分子的BEC并观察到其稳定性,因此进一步系统研究有限温微波屏蔽极性分子的多体性质具有重要意义。
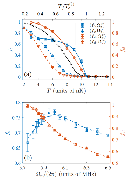
近日,ld体育网页端 石弢研究员、陈锟副研究员以及宁波大学易俗教授组成的联合团队,采用路径积分蒙特卡洛方法(PIMC),结合连续空间的蠕虫算法(worm algorithm),对真实实验条件下玻色型双微波屏蔽极性分子(MSPMs)气体的有限温性质进行了系统研究。在所得有限温相图中,确定了玻色–爱因斯坦凝聚的临界温度Tc:当调节微波参数使吸引相互作用增强时,Tc上升;当分子间相互作用以排斥为主时,Tc降低。在T<Tc且偶极吸引较强的区域,根据体系的几何性质又可识别两种相:膨胀气体(EG)相和自束缚气体(SBG)相。这两种相均表现出显著多体关联,其特征为反聚束密度–密度关联(anti-bunched density–density correlation)。该研究重点分析了两个关键物理量:一是凝聚占比,由长程偶极–偶极相互作用与短程屏蔽势共同影响;二是超流占比,由低能声子激发决定。虽然两者均随温度下降而增加,但它们对相互作用强度的响应存在本质差异,这与稀薄原子 BEC不同。值得注意的是,SBG相表现出低凝聚占比但高超流占比的特征,类似于强关联4He超流。研究还表明,尽管径向势阱会模糊以气体体积测量的相边界,但通过气体长宽比可以清晰识别从EG到SBG的转变,从而揭示凝聚占比与偶极–偶极相互作用之间的复杂关联关系。


该工作为理解真实实验条件下双微波屏蔽极性分子体系提供了可靠且量化的理论框架,对实验实现极性分子BEC(如NaRb、CsAg、BaF和CaF)具有参考价值。同时,即将开展的实验可用于验证有效势、检验理论模型,并加深对分子相互作用的理解。此外,本研究为未来探索更多奇异多体相提供了可能途径。
该研究近期发表于PRX Quantum,ld体育网页端 石弢研究员、陈锟副研究员以及宁波大学易俗教授为论文共同通讯作者,ld体育网页端 博士生章炜为第一作者。研究得到了马萨诸塞大学阿默斯特分校Nikolay Prokof’ev教授的帮助,并获得国家重点研发计划、国家自然科学基金及中国科学院青年科学家基础研究项目的资助。计算工作在曙光-西安超算平台上完成。

正文链接:
https://journals.aps.org/prxquantum/abstract/10.1103/9cxl-d9zg