理论物理所在软物质物理的理论研究中取得进展
液晶弹性体的宏观形状变化与其内部微观液晶单元指向之间的耦合,使得通过调节液晶弹性体内部液晶单元的取向序进行机械做功成为了可能。液晶分子排列良好的单畴液晶弹性体具有非常优秀的机械性能,例如可逆的大应变变形、高强度和优异的韧性等。然而,由于随机淬火效应难以实现液晶单元的均一排列以及该材料的不可回收性(与其他常见热固性材料类似),液晶弹性体至今无法在工业中广泛应用。为了克服上述困难,键交换型液晶弹性体在2014年被成功制备;与液晶弹性体中交联键能垒很高导致交联键很难重组不同,键交换型液晶弹性体中的键交换反应速率可以通过加入催化剂和改变温度等手段调节。尽管现阶段在制备不同的键交换型液晶弹性体方面取得了显著的实验进展,但仍然缺乏理解此类液晶弹性体物理特性的理论框架,而构建此理论的主要困难来源于动态演化的向列序,聚合物材料的熵弹性和键交换反应引起的能量耗散等多种物理因素耦合。
近日,ld体育网页端 孟凡龙课题组,通过考虑微尺度键交换反应,构建了键交换型液晶弹性体的连续体理论模型,揭示了键交换型液晶弹性体在不同的应用场景中可能呈现的普适性流变学特性。


图一:键交换型液晶弹性体示意图,其交联键可通过某些化学交换反应发生交换。
应力迟豫:通过施加固定幅度的形变,键交换型液晶弹性体会在施加形变的同时产生向列序。此后,键交换型液晶弹性体的应力会随时间指数衰减,同时伴随着向列序的序参量也随时间呈现指数衰减(如图二)。

图二:键交换型液晶弹性体的应力迟豫。
固定应变速率时的应力-应变关系:通过施加固定应变速率的应变,键交换型液晶弹性体的应力-应变曲线会呈现先增后减的非单调特性,其中曲线的最高点被定义成应变屈服点(yielding point)。由于形变与其向列序的耦合,键交换型液晶弹性体的应力-应变响应比无向列序的类玻璃体(vitrimer)“更软”。增加固定的应变速率,键交换型液晶弹性体的应力-应变曲线会向上移,并接近交联键永久型液晶弹性体的应力-应变曲线(如图三)。

图三:键交换型液晶弹性体在固定应变速率时的应力-应变关系(实线为键交换型液晶弹性体,虚线为类玻璃化弹性体)。
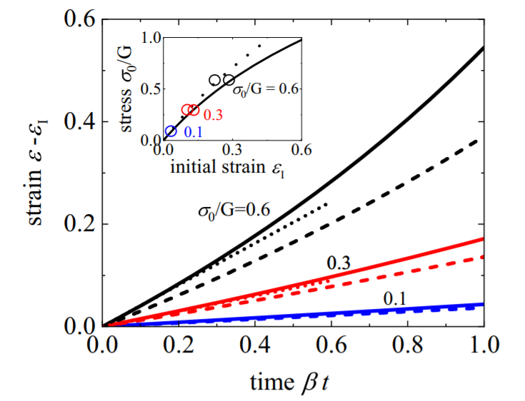
蠕变屈服:通过施加固定幅度的应力,键交换型液晶弹性体会产生瞬时应变。由于键交换反应带来的能量耗散,其应变会随着时间增加,如液体般呈现“流动”的特性。通过定义有效黏度,作者发现其有效黏度会随着固定应力的增加而减小。同时,通过分析应变的时间演化,作者发现键交换型液晶弹性体有应变变稀的行为(如图四)。

图四:键交换型液晶弹性体的蠕变屈服(实线为键交换型液晶弹性体,虚线为类玻璃化弹性体)。
该研究成果近日发表在Physical Review Letters期刊,理论物理所2022级博士研究生赵佳萌为论文第一作者,孟凡龙研究员为通讯作者。
论文链接:
https://journals.aps.org/prl/abstract/10.1103/PhysRevLett.131.068101