格点模拟电弱一阶相变 — 原初磁场和引力波的产生
随着2012年欧洲大型强子对撞机(LHC)上希格斯粒子的发现,粒子物理标准模型被证明是一个非常成功的描述物质微观结构和相互作用的模型。但是暗物质,中微子的震荡现象,电弱真空的不稳定性,物质反物质的不对称性等预示着粒子物理标准模型可能是一个不完备的理论模型。对宇宙早期演化过程中各种物理现象的观测是探索超出粒子物理标准模型新物理的一种有效途径。相对于高能加速器上的实验,对各种宇宙起源信号的观测,如引力波和原初磁场等,可以提供涉及更高能标和更弱的相互作用的信息。很多超出粒子物理标准模型的新物理模型都预言了电弱一阶相变的存在。在相变过程中,希格斯场的真假真空被势垒隔开,由于量子隧穿效应,真空泡泡不断产生,膨胀、碰撞,最终希格斯场稳定在真真空附近。人们可以通过探测一阶相变产生的特征引力波能量谱来确定相变的强度、快慢等,进而对新物理模型参数给出限制,产生的磁场可以提供已观测到的星系间磁场所需的种子。对电弱一阶相变的研究将目前的两个研究热点,引力波和原初磁场联系在一起,给出相互关联的预言和模型参数的限制。
最近,重庆大学边立功副研究员课题组(本科生邸越峰同学、汪嘉龙同学和周瑞雨博士),ld体育网页端 蔡荣根研究员和国科大杭州高等研究院刘京博士,首次运用格点模拟的方法研究了电弱一阶相变的动力学以及相伴产生的磁场和引力波的特征。真空泡泡的运动如图 1 所示,希格斯场的能量逐渐转移到规范场中并产生原初磁场;泡泡的碰撞产生了强能量密度扰动,并有效地产生引力波。预言的磁场和引力波能量谱如图 2,3 所示。

图1:真空泡泡的产生、膨胀与碰撞。
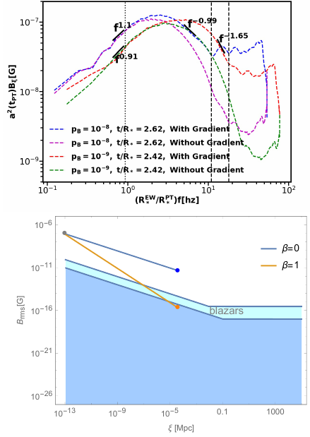
该工作发现磁场和引力波都可以由相变过程中真空泡壁的碰撞产生,磁场在碰撞后希格斯场的振荡阶段得到放大,导致磁场的峰值频率略高于引力波的峰值频率。相变过程中产生的磁场峰值强度在关联尺度0.0000001秒差距处达到100纳高斯,经过后期磁流体的演化可以提供星系间磁场演化的种子。磁场和引力波能谱均有分段幂律的特征,其中引力波能谱的谱指标在红外和紫外波段与包络近似给出的解析结果相吻合。该工作比较了不同真空泡形成率下的情形,发现更小的真空泡形成率对应产生磁场和引力波的峰值频率更大。
图2:上:电弱一阶相变产生的磁场能谱;下:磁场后期演化预言的现在的磁场强度和关联尺度。

图3:上:相变预言的引力波能量谱;下:预言的引力波有机会被多种探测器观测到。
该研究成果近日发表在Phys. Rev. Lett. 126 (2021) 251102上。该工作得到了国家自然科学基金委重大项目和创新群体项目、国家重点研发计划和中国科学院战略性先导科技专项的资助。