理论物理所在软物质物理研究中取得进展
细胞为了调控其内部极其复杂的生化反应,需要具有两个重要性质的细胞隔室:首先必须有一个边界用于隔离外界环境(细胞质);其次内部物质可以自由扩散。许多隔室通过细胞膜与外界隔开,然而有些隔室是无膜的,例如核仁等等。理解无膜隔室彼此之间如何共存,以及其与细胞质如何共存是当前生物物理领域备受关注的难题。最近的研究表明无膜细胞器具有能够流动、融合、形变等液态特征,而液-液相分离被认为是无膜细胞器形成的物理机制。因为无膜细胞器处在由细胞骨架构成的弹性网络中,细胞骨架对无膜细胞器的形成与尺寸会有重要的影响,所以研究弹性介导的液-液相分离对理解无膜细胞器的物性至关重要。 由于凝胶网络中发生液—液相分离所产生的液滴与处在细胞骨架中的无膜细胞器具有相似的特征,中科院理论物理所博士生韦学锋在孟凡龙副研究员的指导下,与北京航空航天大学的周嘉嘉教授以及理论物理所的王延颋研究员合作,建立了解析模型研究凝胶网络的弹性介导的液—液相分离现象。如图一所示,如果没有弹性网络,液体通过相分离会产生形状不规则的液相;当存在弹性网络时,液—液相分离会导致形成液滴。弹性网络越硬,产生的液滴数密度越大,液滴的尺寸越小。当弹性网络过于坚硬时,甚至不会有液滴产生。

图一:(a)无弹性网络时液-液相分离形成的结构。(b)软弹性网络中形成的尺寸较大的液滴。(c)中等硬度的弹性网络中形成的数密度较大的小尺寸液滴。(d)硬弹性网络会抑制液-液相分离,导致无液滴产生。
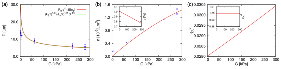
当体系达到平衡时,系统的自由能由三部分组成:弹性网络和液体的混合自由能,液滴的表面能,以及液滴挤压弹性网络产生的弹性能。小液滴合并成大液滴会降低数密度,从而导致体系的表面能减小,但同时液滴尺寸的增大会导致体系的弹性能增加;这两个因素的竞争关系决定了体系平衡时液滴的尺寸。图二显示我们的理论结果与实验数据吻合得较好:液滴尺寸随着弹性网络剪切模量的增大而减小,数密度随着剪切模量的增加而增加,且稀相溶质的体积分数随剪切模量增大近似线性增加。以上结果表明:可以通过调节弹性网络的强度来控制液液相分离所得液滴的尺寸。这一结论有望为细胞骨架中无膜细胞器的形成机理提供新的视角。

图二:理论数值与实验结果对比。(a)液滴尺寸随着弹性网络剪切模量的增大而减小。(b)液滴数密度随着弹性网络剪切模量的增加而增加。(c)稀相溶质的体积分数随剪切模量增大近似线性增加。
这项工作得到了中国科学院战略重点研究计划(XDA17010504)和国家自然科学基金(11947302,21774004)的支持。这项工作的数值计算是在中科院理论物理所的先进计算集群上完成的。

文章链接:
https://journals.aps.org/prl/abstract/10.1103/PhysRevLett.125.268001