中国科学院理论物理所在奇特强子态的研究中取得重要进展
中国科学院理论物理所郭奉坤研究员最近在奇特强子态的研究中取得重要进展,提出精确测量奇特强子态X(3872)质量的全新方法。研究结果发表于Phys. Rev. Lett. 122, 202002 (2019)。
强相互作用是自然界的基本相互作用之一,描述强相互作用的理论是基于夸克和胶子的量子色动力学。夸克和胶子之间的非微扰相互作用产生了质子、中子等强子,从而提供了宇宙中可见物质超过90%的质量。虽然夸克和胶子都携带一种特殊的量子数—颜色,但是实验上只能直接观测到无色的强子,此现象被称为色禁闭,对其机制的研究是当前基础物理中最具挑战性的问题之一。色禁闭使得强子谱成为研究强相互作用的物质结构所必须面对的问题。夸克势模型在强子谱的研究中取得了巨大的成功,这类模型将介子(自旋为整数的强子)和重子(自旋为半整数的强子)分别描述为一对正反夸克和三个夸克的束缚态,超出此图像的强子便被称为奇特强子态(包括胶球、混杂态、多夸克态、强子分子态等)。2003年以来,世界各地的高能物理实验(做出重大贡献的实验包括基于我国北京正负电子对撞机的BESIII实验、日本的Belle实验、美国的BaBar实验以及欧洲的LHCb实验等)中发现了大量新的强子态,它们的性质与夸克势模型的预言完全不同。作为绝佳的奇特强子态的候选者,这些新强子态受到了广泛关注。其中,包含一对正反重夸克的整数自旋的新强子态被特别统称为XYZ态。
关于XYZ的研究肇始于由Belle合作组于2003年发现的X(3872)粒子,该粒子由于其谜一般的性质也成为最受关注的XYZ态,随后被多个实验(包括BESIII、BaBar、CDF、D0、LHCb、ATLAS、CMS等)观测到。X(3872)最神秘的性质是它的质量与一对正反粲介子(D*0和D0,其中一个包含粲夸克,另一个包含反粲夸克)的质量之和(称为阈值)几乎精确相等。我们迄今不知道这背后有何深刻原因。将X(3872)的质量与D*0和D0的阈值之差称为X(3872)的束缚能,综合目前所有的实验测量可得到其值:中心值为0,误差仅有约180keV,小于X(3872)质量的万分之五。误差来源有三:X(3872),D*0和D0的质量测量的误差,分别为170keV, 50 keV和50keV。束缚能包含了X(3872)结构的重要信息,尽管目前的测量已经相当精确,然而我们仍连其符号都不能确定。为了深入理解X(3872)的本质,我们需要更加精确的测量结果。
图1:产生X(3872)和光子的机制
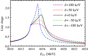
郭奉坤最近提出了一个全新的精确测量X(3872)的束缚能的方法,此方法甚至可以突破D*0和D0的质量测量误差(各仅为50keV)的限制,使得测量精度远超现有结果。方法的原理是:如图1所示,在高能粒子实验中产生一对正反D*0介子,其中一个(如D*0)放出一个光子辐射跃迁到基态的D0,D0再与反D*0发生反应产生X(3872)。在正反D*0介子对的质心系中,当总能量在一个特定区间的时候,D0介子的运动速度可以超过反D*0,如果它们沿同向运动,那么D0介子撞击反D*0从而产生X(3872)即可作为经典过程发生。此时,这个过程的振幅具有的所谓的三角奇点靠近物理区域,从而提升反应几率。该几率作为能量的函数(称为线形,实验上可测)对X(3872)的束缚能极其敏感(参见图2,其中为束缚能),从而我们可以通过测量X(3872)和光子的线形来精确确定X(3872)的束缚能。郭奉坤通过蒙特卡罗方法研究了要达到一定的测量精度所需要的事例数,发现利用该方法只需要几百个事例即可能将测量精度比现有结果提高一个量级。这一方法可以应用到任何可以大量产生S波正反D*0介子对的实验中,比如正负电子对撞、正负质子对撞等。

图2: X(3872)和光子的线形对束缚能的依赖
此外,郭奉坤还与他的博士生景豪杰、博士后Shuntaru Sakai以及波恩大学的合作者Ulf-G. Meissner教授建议通过同位旋对称破坏的衰变过程来研究LHCb实验最近报道的五夸克态候选者Pc(4457)的内部结构。成果以快报(Rapid Communication) 形式发表于Phys.Rev. D 99, 091501(R) (2019),并被选为“编辑推荐”文章。
这些工作得到了由国家自然科学基金委和德国DFG联合设立的中德跨学科重大合作研究项目CRC110、国家自然科学基金委重点项目、彭桓武理论物理创新研究中心、中科院前沿科学重点研究项目、中科院粒子物理卓越创新中心以及中科院国际人才计划项目的支持。
原文链接:
https://journals.aps.org/prl/pdf/10.1103/PhysRevLett.122.202002